Novel Material Systems for Infrastructure and Structural Protection
Research Sponsor:
US National Science Foundation
Investigators:
Tong Hui and Caglar Oskay
Work and Objectives
Polyurea layered woven glass fiber reinforced epoxy matrix composite structures subject to blast
Multiscale modeling of wave propagation in composite structures
Introduction and Motivation
Blast mitigation of polyurea layer to composite structures
Blast Simulation
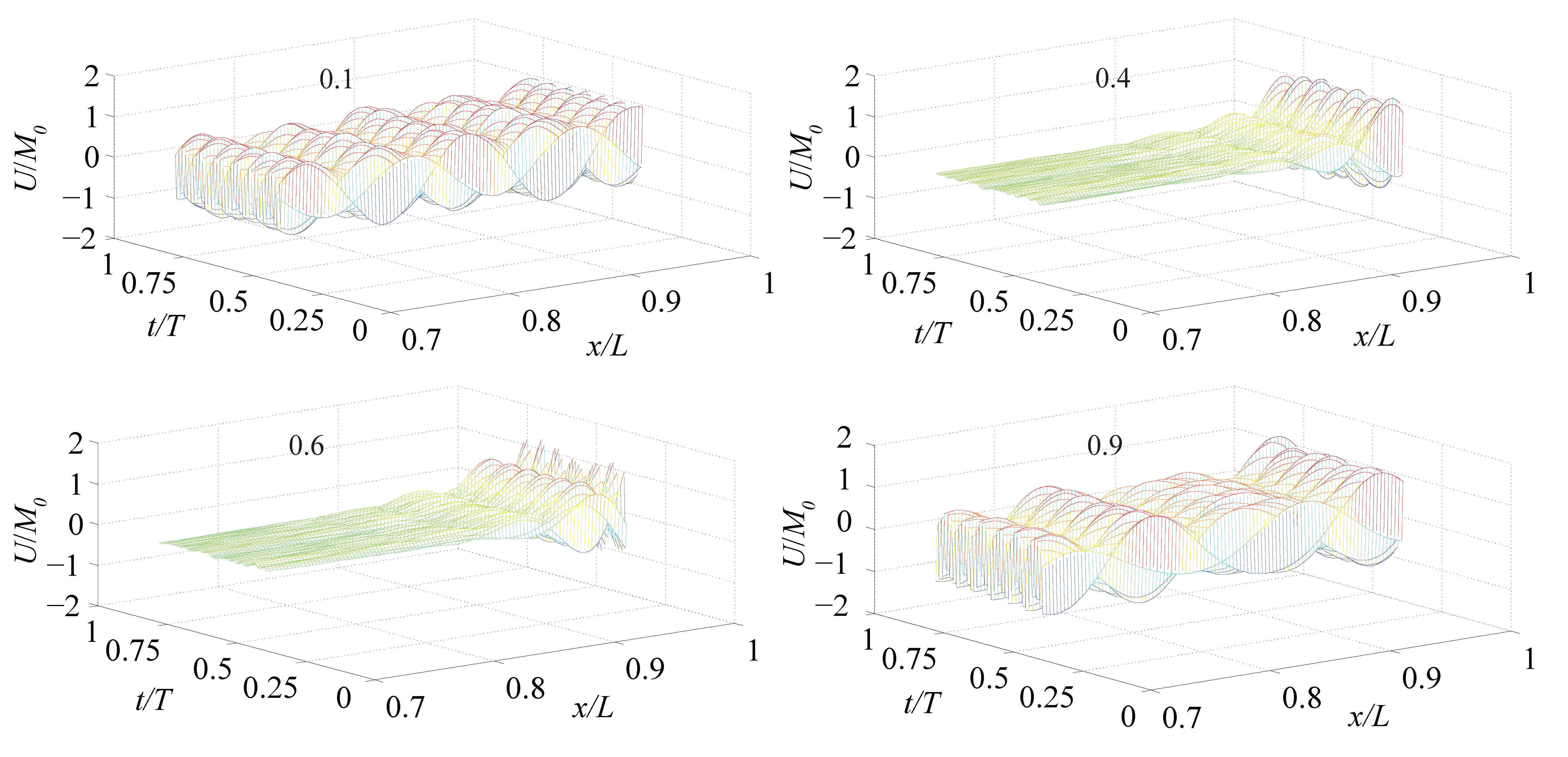
Wave propagation in periodic composite structures
High order homogenization modeling of wave propagation in periodic composite structures
periodic composite structures






